Limit Fungsi Trigonometri
Rumus dasar limit fungsi trigonometri, yaitu:

Dari rumus dasar diatas dapat dikembangkan rumus-rumus sebagai berikut:

Atau dapat disimpulkan:

Untuk lebih jelasnya ikutilah contoh soal berikut ini:
01. Tentukanlah hasil setiap limit fungsi trigonometri berikut ini

jawab


Menyesuaikan dengan rumus limit fungsi trigonometri diatas, jika p = x � a maka untuk nilai x mendekati a diperoleh nilai p mendekati 0, sehingga:
Dan juga berlaku untuk rumus-rumus limit fungsi trigonometri yang lain.
Untuk lebih jelasnya ikutilah contoh soal berikut ini :
02. Tentukanlah hasil setiap limit fungsi trigonometri berikut ini

jawab


Disamping rumus pengembangan di atas sering pula digunakan rumus rumus trigonometri lainnya yang telah dipelajari pada bab sebelumnya, yakni

Untuk lebih jelasnya pemakaian rumus-rumus di atas, ikutilah contoh soal berikut ini
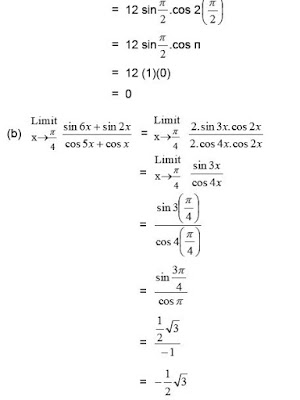
03. Tentukanlah hasil setiap limit fungsi trigonometri berikut ini
Jawab
Terdapat pula limit fungsi trigonometri yang penyelesaiannya tidak menggunakan cara-cara seperti diatas. Sebagai contoh akan diberikan pada soal berikut ini :
04. Tentukanlah hasil setiap limit fungsi trigonometri berikut ini


Dari rumus dasar diatas dapat dikembangkan rumus-rumus sebagai berikut:
Atau dapat disimpulkan:
Untuk lebih jelasnya ikutilah contoh soal berikut ini:
01. Tentukanlah hasil setiap limit fungsi trigonometri berikut ini
jawab
Menyesuaikan dengan rumus limit fungsi trigonometri diatas, jika p = x � a maka untuk nilai x mendekati a diperoleh nilai p mendekati 0, sehingga:
Dan juga berlaku untuk rumus-rumus limit fungsi trigonometri yang lain.
Untuk lebih jelasnya ikutilah contoh soal berikut ini :
02. Tentukanlah hasil setiap limit fungsi trigonometri berikut ini
jawab
Disamping rumus pengembangan di atas sering pula digunakan rumus rumus trigonometri lainnya yang telah dipelajari pada bab sebelumnya, yakni
Untuk lebih jelasnya pemakaian rumus-rumus di atas, ikutilah contoh soal berikut ini
03. Tentukanlah hasil setiap limit fungsi trigonometri berikut ini
Jawab
Terdapat pula limit fungsi trigonometri yang penyelesaiannya tidak menggunakan cara-cara seperti diatas. Sebagai contoh akan diberikan pada soal berikut ini :
04. Tentukanlah hasil setiap limit fungsi trigonometri berikut ini
