Limit Tak Hingga Fungsi Aljabar
Seperti telah diuraikan di muka bahwa nilai limit berhingga suatu fungsi f(x) untuk x mendekati a didapat dengan cara mensubstitusikan nilai a ke fungsi f(x). Atau ditulis

Hal ini berlaku pula untuk untuk limit tak hingga suatu fungsi aljabar f(x), sehingga
Sebagai contoh

Namun jika f(x) berbentuk fungsi pecahan, maka nilai substitusinya memungkinkan hasil tak terdefinisi, yakni bentuk

Dengan kata lain:

Dalam hal ini f(x) dimanipulasi dengan cara:
Jika n adalah derajat tertinggi antara g(x) atau h(x) maka g(x) dan h(x) masing-masing dibagi dengan xn .
Untuk lebih jelasnya ikutilah contoh soal berikut ini:
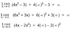
01. Tentukanlah hasil dari:

jawab


02. Tentukanlah hasil dari:

jawab


Dari contoh di atas, dapat disimpulkan bahwa penyelesaian limit tak hingga fungsi aljabar pecahan ditentukan oleh koefisien dari variable pangkat tertinggi.
Untuk lebih jelasnya akan diuraikan pada contoh soal berikut ini:
03. Tentukanlah hasil dari

jawab


04. Tentukanlah hasil dari

jawab


Dari soal di atas dapat ditarik kesimpulan bahwa:

05. Tentukanlah hasil dari

jawab


Dari soal di atas dapat ditarik kesimpulan bahwa:

Untuk lebih jelasnya akan diuraikan pada contoh soal berikut ini:
06. Tentukanlah hasil dari

jawab

07. Tentukanlah hasil dari

jawab

Hal ini berlaku pula untuk untuk limit tak hingga suatu fungsi aljabar f(x), sehingga
Sebagai contoh
Namun jika f(x) berbentuk fungsi pecahan, maka nilai substitusinya memungkinkan hasil tak terdefinisi, yakni bentuk
Dengan kata lain:
Dalam hal ini f(x) dimanipulasi dengan cara:
Jika n adalah derajat tertinggi antara g(x) atau h(x) maka g(x) dan h(x) masing-masing dibagi dengan xn .
01. Tentukanlah hasil dari:
jawab
02. Tentukanlah hasil dari:
jawab
Dari contoh di atas, dapat disimpulkan bahwa penyelesaian limit tak hingga fungsi aljabar pecahan ditentukan oleh koefisien dari variable pangkat tertinggi.
Untuk lebih jelasnya akan diuraikan pada contoh soal berikut ini:
03. Tentukanlah hasil dari
jawab
04. Tentukanlah hasil dari
jawab
Dari soal di atas dapat ditarik kesimpulan bahwa:
05. Tentukanlah hasil dari
jawab
Dari soal di atas dapat ditarik kesimpulan bahwa:
Untuk lebih jelasnya akan diuraikan pada contoh soal berikut ini:
06. Tentukanlah hasil dari
jawab
07. Tentukanlah hasil dari
jawab
